
비숍 - 제네시스

아크메이지 (썬,콜) - 블리자드

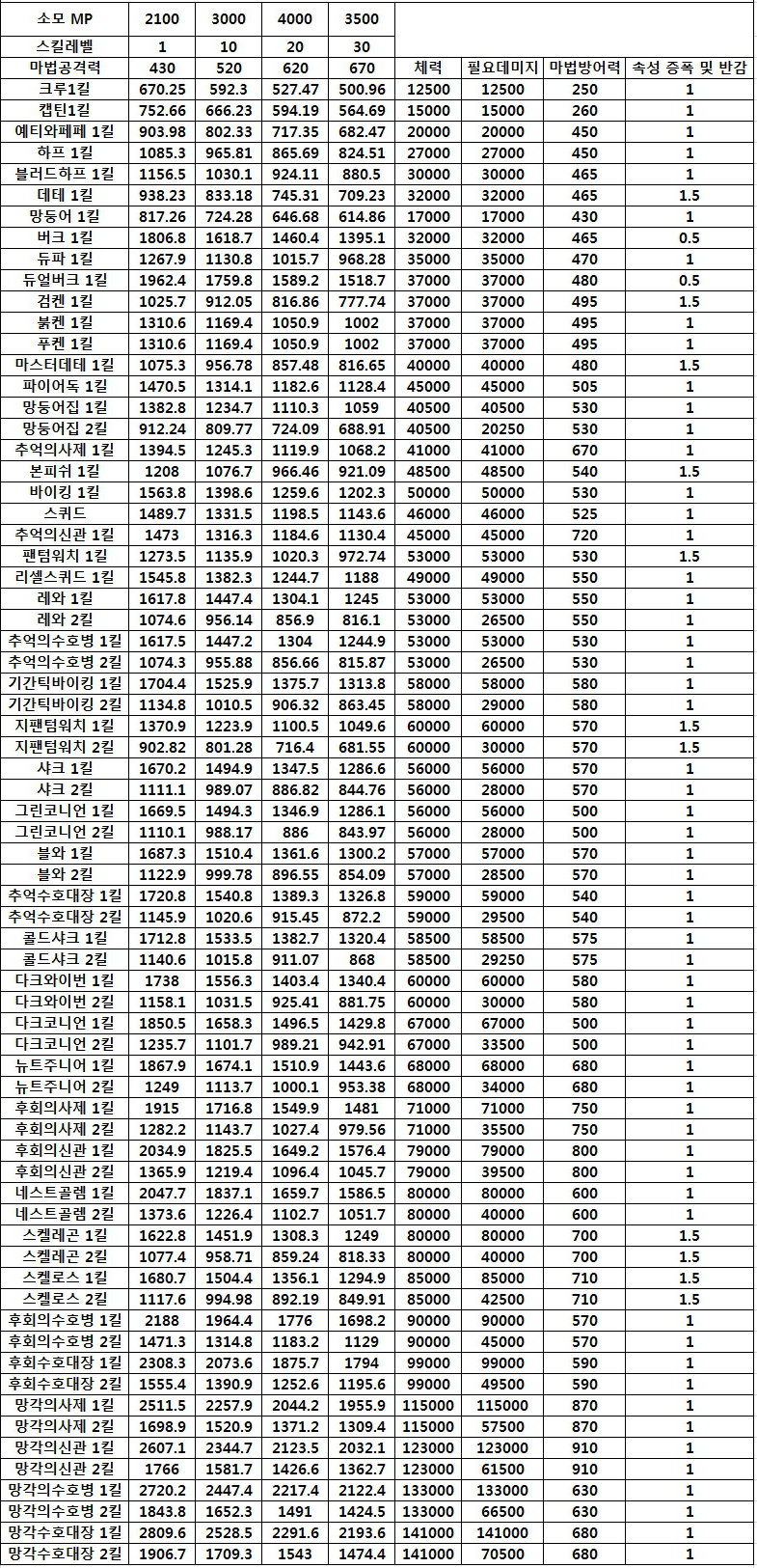
아크메이지 (불,독) - 메테오

'일반 > 캐릭터' 카테고리의 다른 글
| 옛날메이플 캐릭터 정보 (펫 친밀도 표) (0) | 2019.06.20 |
|---|---|
| 옛날메이플 캐릭터 정보 (경험치 표) (2) | 2019.06.20 |
| 옛날메이플 캐릭터 정보 (스킬 트리) (5) | 2019.05.22 |
| 옛날메이플 캐릭터 정보 (쩔 레벨표) (2) | 2018.11.04 |
| 옛날메이플 캐릭터 정보 (공격 속도) (0) | 2018.06.26 |